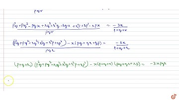
If p, q, r, s are positive real numbers and the equation x^4-p x^3+q x^2-r x+s=0 has four positiv...

Tonton & Download Video Musik Gratis

⬇ DOWNLOAD NOW
Kalau muncul iklan pop-up, tutup lalu klik tombol kembali

Download lagu If p, q, r, s are positive real numbers and the equation x^4-p x^3+q x^2-r x+s=0 has four positiv... secara gratis hanya untuk keperluan promosi. Dukung artis favorit kamu dengan membeli musik original di iTunes atau platform resmi lainnya.