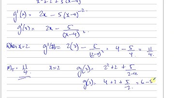
WMA13 IAL (Edexcel) P3 Oct 2021 Q1 Algebraic Fractions, Inverse Functons, Differentiation

Tonton & Download Video Musik Gratis

⬇ DOWNLOAD NOW
Kalau muncul iklan pop-up, tutup lalu klik tombol kembali

Download lagu WMA13 IAL (Edexcel) P3 Oct 2021 Q1 Algebraic Fractions, Inverse Functons, Differentiation secara gratis hanya untuk keperluan promosi. Dukung artis favorit kamu dengan membeli musik original di iTunes atau platform resmi lainnya.