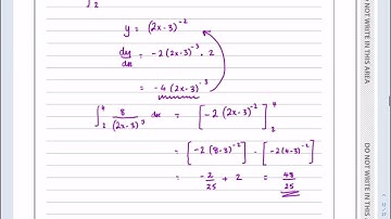
IAL, Edexcel, Oct 2021, P3, Q1, Algebraic Methods, Functions, Differentiation, Pure, WMA13/01

Tonton & Download Video Musik Gratis

⬇ DOWNLOAD NOW
Kalau muncul iklan pop-up, tutup lalu klik tombol kembali

Download lagu IAL, Edexcel, Oct 2021, P3, Q1, Algebraic Methods, Functions, Differentiation, Pure, WMA13/01 secara gratis hanya untuk keperluan promosi. Dukung artis favorit kamu dengan membeli musik original di iTunes atau platform resmi lainnya.