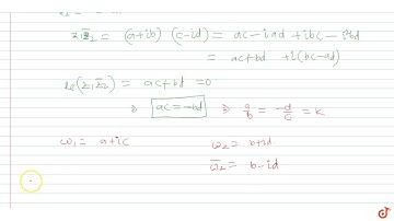
If z_1=a+i b and z_2=c+i d are complex numbers such that |z_1|=|z_2|=1 and Re(z_1z̅_2)=0, then th...

Tonton & Download Video Musik Gratis

⬇ DOWNLOAD NOW
Kalau muncul iklan pop-up, tutup lalu klik tombol kembali

Download lagu If z_1=a+i b and z_2=c+i d are complex numbers such that |z_1|=|z_2|=1 and Re(z_1z̅_2)=0, then th... secara gratis hanya untuk keperluan promosi. Dukung artis favorit kamu dengan membeli musik original di iTunes atau platform resmi lainnya.