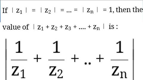
If `|z_1|=|z_2|=.......=|z_n|=1,` prove that `|z_1+z_2+z_3++z_n|=1/(z_1)+1/(z_2)+1/(z_3)++1/(z_n)`

Tonton & Download Video Musik Gratis

⬇ DOWNLOAD NOW
Kalau muncul iklan pop-up, tutup lalu klik tombol kembali

Download lagu If `|z_1|=|z_2|=.......=|z_n|=1,` prove that `|z_1+z_2+z_3++z_n|=1/(z_1)+1/(z_2)+1/(z_3)++1/(z_n)` secara gratis hanya untuk keperluan promosi. Dukung artis favorit kamu dengan membeli musik original di iTunes atau platform resmi lainnya.