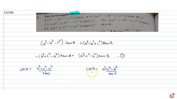
In a triangle ABC, `a^2cos^2A=b^2+c^2` then triangle is

Tonton & Download Video Musik Gratis

⬇ DOWNLOAD NOW
Kalau muncul iklan pop-up, tutup lalu klik tombol kembali

Download lagu In a triangle ABC, `a^2cos^2A=b^2+c^2` then triangle is secara gratis hanya untuk keperluan promosi. Dukung artis favorit kamu dengan membeli musik original di iTunes atau platform resmi lainnya.