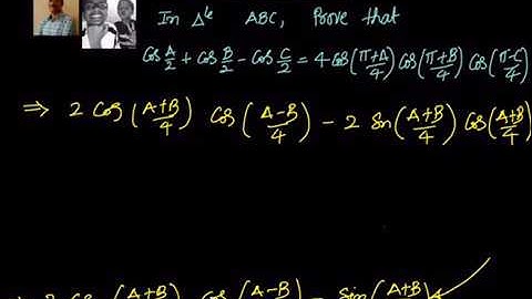
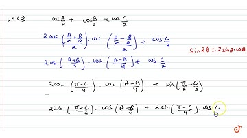
If in a triangle `ABC`, if `4Rr cos(A/2) cos(B/2) cos(C/2)=`

Tonton & Download Video Musik Gratis

⬇ DOWNLOAD NOW
Kalau muncul iklan pop-up, tutup lalu klik tombol kembali

Download lagu If in a triangle `ABC`, if `4Rr cos(A/2) cos(B/2) cos(C/2)=` secara gratis hanya untuk keperluan promosi. Dukung artis favorit kamu dengan membeli musik original di iTunes atau platform resmi lainnya.