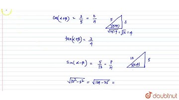
Let ` cos (alpha+beta) = 4/5` and `sin(alpha-beta)=5/13 ` where `0 lt= alpha,beta lt= pi/4` the...

Tonton & Download Video Musik Gratis

⬇ DOWNLOAD NOW
Kalau muncul iklan pop-up, tutup lalu klik tombol kembali

Download lagu Let ` cos (alpha+beta) = 4/5` and `sin(alpha-beta)=5/13 ` where `0 lt= alpha,beta lt= pi/4` the... secara gratis hanya untuk keperluan promosi. Dukung artis favorit kamu dengan membeli musik original di iTunes atau platform resmi lainnya.