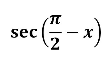
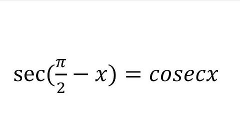
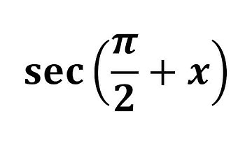
Solve sec(pi/2-theta) | sec(pi/2 -x) | sec pi/2 - x formula, Find value sec pi by 2 - x

Tonton & Download Video Musik Gratis

⬇ DOWNLOAD NOW
Kalau muncul iklan pop-up, tutup lalu klik tombol kembali

Download lagu Solve sec(pi/2-theta) | sec(pi/2 -x) | sec pi/2 - x formula, Find value sec pi by 2 - x secara gratis hanya untuk keperluan promosi. Dukung artis favorit kamu dengan membeli musik original di iTunes atau platform resmi lainnya.