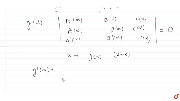
If \( \alpha \) be a repeated root of a quadratic equation \( f(x)=...

Tonton & Download Video Musik Gratis

⬇ DOWNLOAD NOW
Kalau muncul iklan pop-up, tutup lalu klik tombol kembali

Download lagu If \( \alpha \) be a repeated root of a quadratic equation \( f(x)=... secara gratis hanya untuk keperluan promosi. Dukung artis favorit kamu dengan membeli musik original di iTunes atau platform resmi lainnya.