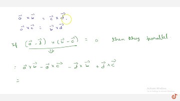
If vec axx vec b= vec bxx vec c!=0,\\ \nthen show that vec a+ vec c=m vec b ,\\ w h e r e\\ m\...

Tonton & Download Video Musik Gratis

⬇ DOWNLOAD NOW
Kalau muncul iklan pop-up, tutup lalu klik tombol kembali

Download lagu If vec axx vec b= vec bxx vec c!=0,\\ \nthen show that vec a+ vec c=m vec b ,\\ w h e r e\\ m\... secara gratis hanya untuk keperluan promosi. Dukung artis favorit kamu dengan membeli musik original di iTunes atau platform resmi lainnya.