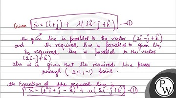
JEE MAINS 2018 Find the vector of a line passing through `(2,-1,1)` and parallel to the line who...

Tonton & Download Video Musik Gratis

⬇ DOWNLOAD NOW
Kalau muncul iklan pop-up, tutup lalu klik tombol kembali

Download lagu JEE MAINS 2018 Find the vector of a line passing through `(2,-1,1)` and parallel to the line who... secara gratis hanya untuk keperluan promosi. Dukung artis favorit kamu dengan membeli musik original di iTunes atau platform resmi lainnya.