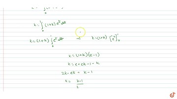
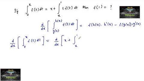
If `int_0^x f(t)dt=x+int_x^1 t f(t)dt`, then `f(1)=` (A) `1/2` (B) `0` (C) `1` (D) `-1/2`

Tonton & Download Video Musik Gratis

⬇ DOWNLOAD NOW
Kalau muncul iklan pop-up, tutup lalu klik tombol kembali

Download lagu If `int_0^x f(t)dt=x+int_x^1 t f(t)dt`, then `f(1)=` (A) `1/2` (B) `0` (C) `1` (D) `-1/2` secara gratis hanya untuk keperluan promosi. Dukung artis favorit kamu dengan membeli musik original di iTunes atau platform resmi lainnya.