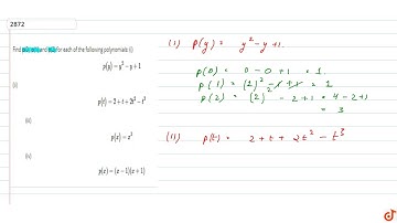
Find p(0), p(1) and p(2) for each ofthe following polynomials:(i) p(y)=y^2-y+1(ii) p(t)=2+t+2t^2...

Tonton & Download Video Musik Gratis

⬇ DOWNLOAD NOW
Kalau muncul iklan pop-up, tutup lalu klik tombol kembali

Download lagu Find p(0), p(1) and p(2) for each ofthe following polynomials:(i) p(y)=y^2-y+1(ii) p(t)=2+t+2t^2... secara gratis hanya untuk keperluan promosi. Dukung artis favorit kamu dengan membeli musik original di iTunes atau platform resmi lainnya.