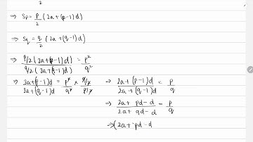
Let a1,a2 ,......,a21 be an AP such that ∑1/(a_n+1),n∈(1,20) = 4/9 . If the sum of this AP is 189

Tonton & Download Video Musik Gratis

⬇ DOWNLOAD NOW
Kalau muncul iklan pop-up, tutup lalu klik tombol kembali

Download lagu Let a1,a2 ,......,a21 be an AP such that ∑1/(a_n+1),n∈(1,20) = 4/9 . If the sum of this AP is 189 secara gratis hanya untuk keperluan promosi. Dukung artis favorit kamu dengan membeli musik original di iTunes atau platform resmi lainnya.