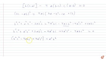
Show that if the given expression is a perfect square, then a, b, c are in harmonic progression.

Tonton & Download Video Musik Gratis

⬇ DOWNLOAD NOW
Kalau muncul iklan pop-up, tutup lalu klik tombol kembali

Download lagu Show that if the given expression is a perfect square, then a, b, c are in harmonic progression. secara gratis hanya untuk keperluan promosi. Dukung artis favorit kamu dengan membeli musik original di iTunes atau platform resmi lainnya.