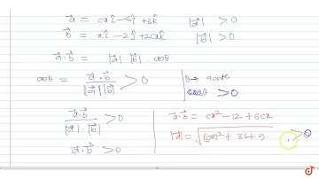
The set of values of c for which the angle between the vectors c x î-6 ĵ+3 k̂& x î-2 ĵ+2 c x k̂ i...

Tonton & Download Video Musik Gratis

⬇ DOWNLOAD NOW
Kalau muncul iklan pop-up, tutup lalu klik tombol kembali

Download lagu The set of values of c for which the angle between the vectors c x î-6 ĵ+3 k̂& x î-2 ĵ+2 c x k̂ i... secara gratis hanya untuk keperluan promosi. Dukung artis favorit kamu dengan membeli musik original di iTunes atau platform resmi lainnya.