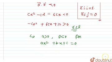
The set of values of c for which the angle between the vectors `cx hat i-6 hat j+3 hat k and

Tonton & Download Video Musik Gratis

⬇ DOWNLOAD NOW
Kalau muncul iklan pop-up, tutup lalu klik tombol kembali

Download lagu The set of values of c for which the angle between the vectors `cx hat i-6 hat j+3 hat k and secara gratis hanya untuk keperluan promosi. Dukung artis favorit kamu dengan membeli musik original di iTunes atau platform resmi lainnya.