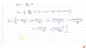
The value of `lim_(n- gtoo) sum_(k=1)^n log(1+k/n)^(1/n)`,is

Tonton & Download Video Musik Gratis

⬇ DOWNLOAD NOW
Kalau muncul iklan pop-up, tutup lalu klik tombol kembali

Download lagu The value of `lim_(n- gtoo) sum_(k=1)^n log(1+k/n)^(1/n)`,is secara gratis hanya untuk keperluan promosi. Dukung artis favorit kamu dengan membeli musik original di iTunes atau platform resmi lainnya.