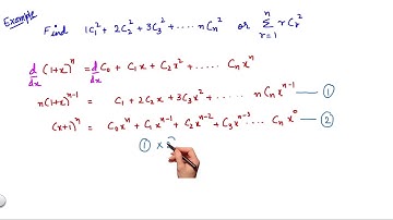
if C0 , C1, C2 ,C3 - - - - C15 are the bionomial coefficient in the expansion of (1+x)¹⁵ then the

Tonton & Download Video Musik Gratis

⬇ DOWNLOAD NOW
Kalau muncul iklan pop-up, tutup lalu klik tombol kembali

Download lagu if C0 , C1, C2 ,C3 - - - - C15 are the bionomial coefficient in the expansion of (1+x)¹⁵ then the secara gratis hanya untuk keperluan promosi. Dukung artis favorit kamu dengan membeli musik original di iTunes atau platform resmi lainnya.