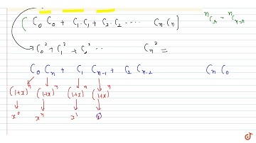
If (1+x)^15 = C_0 + C_1 x + C_2 x^2 + ...... + C_15 x^15, then C_2 + 2C_3 + 3C_4 +....+ 14C_15=

Tonton & Download Video Musik Gratis

⬇ DOWNLOAD NOW
Kalau muncul iklan pop-up, tutup lalu klik tombol kembali

Download lagu If (1+x)^15 = C_0 + C_1 x + C_2 x^2 + ...... + C_15 x^15, then C_2 + 2C_3 + 3C_4 +....+ 14C_15= secara gratis hanya untuk keperluan promosi. Dukung artis favorit kamu dengan membeli musik original di iTunes atau platform resmi lainnya.