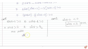
If `0 lt theta lt 2pi`, then the intervals of values of ? for which `2sin^2theta-5sintheta...

Tonton & Download Video Musik Gratis

⬇ DOWNLOAD NOW
Kalau muncul iklan pop-up, tutup lalu klik tombol kembali

Download lagu If `0 lt theta lt 2pi`, then the intervals of values of ? for which `2sin^2theta-5sintheta... secara gratis hanya untuk keperluan promosi. Dukung artis favorit kamu dengan membeli musik original di iTunes atau platform resmi lainnya.