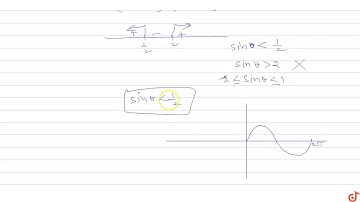
If `theta in (0, 2pi)` and `2sin^2theta - 5sintheta + 2 gt 0`, then the range of `theta` is

Tonton & Download Video Musik Gratis

⬇ DOWNLOAD NOW
Kalau muncul iklan pop-up, tutup lalu klik tombol kembali

Download lagu If `theta in (0, 2pi)` and `2sin^2theta - 5sintheta + 2 gt 0`, then the range of `theta` is secara gratis hanya untuk keperluan promosi. Dukung artis favorit kamu dengan membeli musik original di iTunes atau platform resmi lainnya.