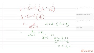
An equiconvex lens of radius of curvature R and made of glass of refractive index =n is cut into

Tonton & Download Video Musik Gratis

⬇ DOWNLOAD NOW
Kalau muncul iklan pop-up, tutup lalu klik tombol kembali

Download lagu An equiconvex lens of radius of curvature R and made of glass of refractive index =n is cut into secara gratis hanya untuk keperluan promosi. Dukung artis favorit kamu dengan membeli musik original di iTunes atau platform resmi lainnya.