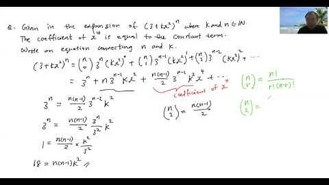
Compare first three terms in Binomial Expansion (2 - ax)^6 to find product of unknown constants

Tonton & Download Video Musik Gratis

⬇ DOWNLOAD NOW
Kalau muncul iklan pop-up, tutup lalu klik tombol kembali

Download lagu Compare first three terms in Binomial Expansion (2 - ax)^6 to find product of unknown constants secara gratis hanya untuk keperluan promosi. Dukung artis favorit kamu dengan membeli musik original di iTunes atau platform resmi lainnya.