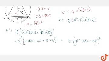
If a cone of maximum volume is inscribed in a given sphere, then the ratio of the height of the c...

Tonton & Download Video Musik Gratis

⬇ DOWNLOAD NOW
Kalau muncul iklan pop-up, tutup lalu klik tombol kembali

Download lagu If a cone of maximum volume is inscribed in a given sphere, then the ratio of the height of the c... secara gratis hanya untuk keperluan promosi. Dukung artis favorit kamu dengan membeli musik original di iTunes atau platform resmi lainnya.