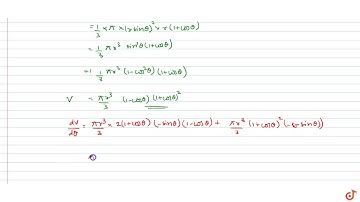
If a cone of maximum volume is inscribed in a given sphere, ratio height|RD Sharma|12|2023|CBSE|MCQ

Tonton & Download Video Musik Gratis

⬇ DOWNLOAD NOW
Kalau muncul iklan pop-up, tutup lalu klik tombol kembali

Download lagu If a cone of maximum volume is inscribed in a given sphere, ratio height|RD Sharma|12|2023|CBSE|MCQ secara gratis hanya untuk keperluan promosi. Dukung artis favorit kamu dengan membeli musik original di iTunes atau platform resmi lainnya.