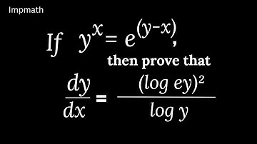
Calculus - Integration - Show that If x^y = e^(x-y) then dy/dx = (log x)/ (log(xe))^2

Tonton & Download Video Musik Gratis

โฌ‡ DOWNLOAD NOW
Kalau muncul iklan pop-up, tutup lalu klik tombol kembali

Download lagu Calculus - Integration - Show that If x^y = e^(x-y) then dy/dx = (log x)/ (log(xe))^2 secara gratis hanya untuk keperluan promosi. Dukung artis favorit kamu dengan membeli musik original di iTunes atau platform resmi lainnya.