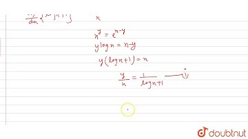
If x^y=e^(x-y),prove that dy/dx=logx/(1+logx)^2 / Implicit Differentiation / Derivatives

Tonton & Download Video Musik Gratis

⬇ DOWNLOAD NOW
Kalau muncul iklan pop-up, tutup lalu klik tombol kembali

Download lagu If x^y=e^(x-y),prove that dy/dx=logx/(1+logx)^2 / Implicit Differentiation / Derivatives secara gratis hanya untuk keperluan promosi. Dukung artis favorit kamu dengan membeli musik original di iTunes atau platform resmi lainnya.