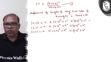
6.if a,b,c are the sides of a triangle ABC such that x 2 2(a+b+c)x+3λ(ab+bc+ca)=0 has real roots, th

Tonton & Download Video Musik Gratis

⬇ DOWNLOAD NOW
Kalau muncul iklan pop-up, tutup lalu klik tombol kembali

Download lagu 6.if a,b,c are the sides of a triangle ABC such that x 2 2(a+b+c)x+3λ(ab+bc+ca)=0 has real roots, th secara gratis hanya untuk keperluan promosi. Dukung artis favorit kamu dengan membeli musik original di iTunes atau platform resmi lainnya.