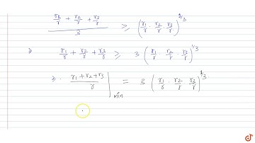
`s/r_1+s/r_2+s/r_3-s/r` is equal to (with usual notation in `Delta ABC`, where `Delta` is ar...

Tonton & Download Video Musik Gratis

тмЗ DOWNLOAD NOW
Kalau muncul iklan pop-up, tutup lalu klik tombol kembali

Download lagu `s/r_1+s/r_2+s/r_3-s/r` is equal to (with usual notation in `Delta ABC`, where `Delta` is ar... secara gratis hanya untuk keperluan promosi. Dukung artis favorit kamu dengan membeli musik original di iTunes atau platform resmi lainnya.