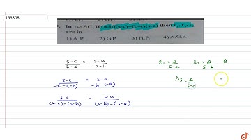
In `Delta ABC` with usual notation `r_1/(bc)+r_2/(ca)+r_3/(ab)` is

Tonton & Download Video Musik Gratis

⬇ DOWNLOAD NOW
Kalau muncul iklan pop-up, tutup lalu klik tombol kembali

Download lagu In `Delta ABC` with usual notation `r_1/(bc)+r_2/(ca)+r_3/(ab)` is secara gratis hanya untuk keperluan promosi. Dukung artis favorit kamu dengan membeli musik original di iTunes atau platform resmi lainnya.