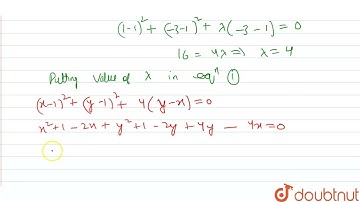
The line x = y touches a circle at the point (1, 1). If the circle also passes th || Let's IQRA JEE

Tonton & Download Video Musik Gratis

⬇ DOWNLOAD NOW
Kalau muncul iklan pop-up, tutup lalu klik tombol kembali

Download lagu The line x = y touches a circle at the point (1, 1). If the circle also passes th || Let's IQRA JEE secara gratis hanya untuk keperluan promosi. Dukung artis favorit kamu dengan membeli musik original di iTunes atau platform resmi lainnya.