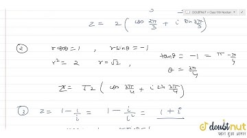
convert 1+3i/1-3i into polar form#q6#ch5#class11#ncert #miscellaneousexercise#pgn11#cannyClasses

Tonton & Download Video Musik Gratis

⬇ DOWNLOAD NOW
Kalau muncul iklan pop-up, tutup lalu klik tombol kembali

Download lagu convert 1+3i/1-3i into polar form#q6#ch5#class11#ncert #miscellaneousexercise#pgn11#cannyClasses secara gratis hanya untuk keperluan promosi. Dukung artis favorit kamu dengan membeli musik original di iTunes atau platform resmi lainnya.