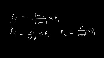
The values of K p_1 and K p_2 for the reactions X⇌Y+Z and A⇌ 2  B are in the ratio of 9: 1. If de...

Tonton & Download Video Musik Gratis

⬇ DOWNLOAD NOW
Kalau muncul iklan pop-up, tutup lalu klik tombol kembali

Download lagu The values of K p_1 and K p_2 for the reactions X⇌Y+Z and A⇌ 2  B are in the ratio of 9: 1. If de... secara gratis hanya untuk keperluan promosi. Dukung artis favorit kamu dengan membeli musik original di iTunes atau platform resmi lainnya.