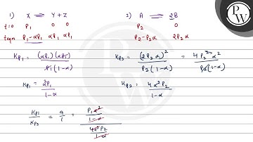
The values of Kp1 and Kp2 for the reactions, X⇌Y+Z A⇌2B

Tonton & Download Video Musik Gratis

⬇ DOWNLOAD NOW
Kalau muncul iklan pop-up, tutup lalu klik tombol kembali

Download lagu The values of Kp1 and Kp2 for the reactions, X⇌Y+Z A⇌2B secara gratis hanya untuk keperluan promosi. Dukung artis favorit kamu dengan membeli musik original di iTunes atau platform resmi lainnya.