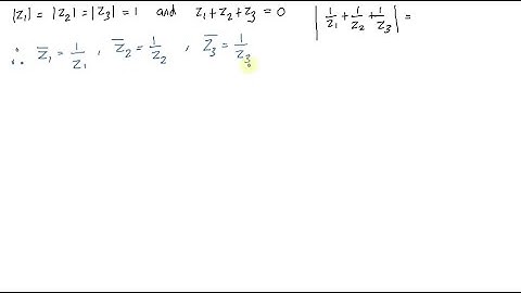
If z_1, z_2, z_3 are complex numbers such that |z_1 |=|z_2 |=|z_3 |=|1/z_1 +1/z_2 +1/z_3 |=1, then..

Tonton & Download Video Musik Gratis

⬇ DOWNLOAD NOW
Kalau muncul iklan pop-up, tutup lalu klik tombol kembali

Download lagu If z_1, z_2, z_3 are complex numbers such that |z_1 |=|z_2 |=|z_3 |=|1/z_1 +1/z_2 +1/z_3 |=1, then.. secara gratis hanya untuk keperluan promosi. Dukung artis favorit kamu dengan membeli musik original di iTunes atau platform resmi lainnya.