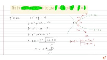
Find the angle of intersection of the curves `y=x^(2) and y=4-x^(2)`.

Tonton & Download Video Musik Gratis

⬇ DOWNLOAD NOW
Kalau muncul iklan pop-up, tutup lalu klik tombol kembali

Download lagu Find the angle of intersection of the curves `y=x^(2) and y=4-x^(2)`. secara gratis hanya untuk keperluan promosi. Dukung artis favorit kamu dengan membeli musik original di iTunes atau platform resmi lainnya.