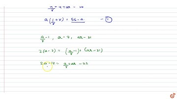
The sum of three numbers which are consecutive terms of an A.P. is 21. If the second number is re...

Tonton & Download Video Musik Gratis

⬇ DOWNLOAD NOW
Kalau muncul iklan pop-up, tutup lalu klik tombol kembali

Download lagu The sum of three numbers which are consecutive terms of an A.P. is 21. If the second number is re... secara gratis hanya untuk keperluan promosi. Dukung artis favorit kamu dengan membeli musik original di iTunes atau platform resmi lainnya.