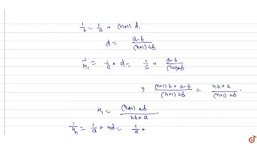
If A_1 and A_2 are two A.M.'s between a and b, prove that: A_1+A_2=a+b

Tonton & Download Video Musik Gratis

⬇ DOWNLOAD NOW
Kalau muncul iklan pop-up, tutup lalu klik tombol kembali

Download lagu If A_1 and A_2 are two A.M.'s between a and b, prove that: A_1+A_2=a+b secara gratis hanya untuk keperluan promosi. Dukung artis favorit kamu dengan membeli musik original di iTunes atau platform resmi lainnya.