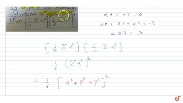
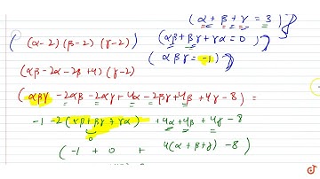
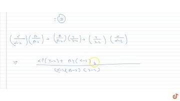
If alpha, beta, gamma are the roots of the cubic x^(3)-px^(2)+qx-r=0 Find the equations whose ro...

Tonton & Download Video Musik Gratis

⬇ DOWNLOAD NOW
Kalau muncul iklan pop-up, tutup lalu klik tombol kembali

Download lagu If alpha, beta, gamma are the roots of the cubic x^(3)-px^(2)+qx-r=0 Find the equations whose ro... secara gratis hanya untuk keperluan promosi. Dukung artis favorit kamu dengan membeli musik original di iTunes atau platform resmi lainnya.