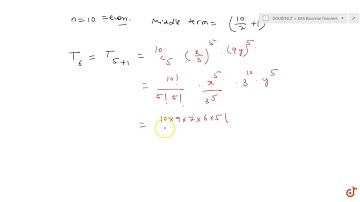
Write the general term in the expansion of ltmath gt ltmrow gt ltmsup gt ltmrow gt ltmrow

Tonton & Download Video Musik Gratis

⬇ DOWNLOAD NOW
Kalau muncul iklan pop-up, tutup lalu klik tombol kembali

Download lagu Write the general term in the expansion of ltmath gt ltmrow gt ltmsup gt ltmrow gt ltmrow secara gratis hanya untuk keperluan promosi. Dukung artis favorit kamu dengan membeli musik original di iTunes atau platform resmi lainnya.