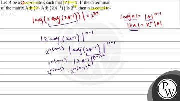
Let A be a nxn matrix such that |A| = 2. If the determinant of the matrix Adj (2.Adj(2A-1)).is2^84,

Tonton & Download Video Musik Gratis

⬇ DOWNLOAD NOW
Kalau muncul iklan pop-up, tutup lalu klik tombol kembali

Download lagu Let A be a nxn matrix such that |A| = 2. If the determinant of the matrix Adj (2.Adj(2A-1)).is2^84, secara gratis hanya untuk keperluan promosi. Dukung artis favorit kamu dengan membeli musik original di iTunes atau platform resmi lainnya.