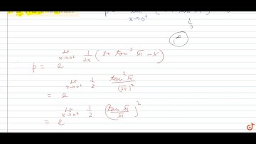
Let p = lim x → 0⁺ (1 + tan²√x)^(1 / 2x) then log p is equal to | Limit

Tonton & Download Video Musik Gratis

⬇ DOWNLOAD NOW
Kalau muncul iklan pop-up, tutup lalu klik tombol kembali

Download lagu Let p = lim x → 0⁺ (1 + tan²√x)^(1 / 2x) then log p is equal to | Limit secara gratis hanya untuk keperluan promosi. Dukung artis favorit kamu dengan membeli musik original di iTunes atau platform resmi lainnya.