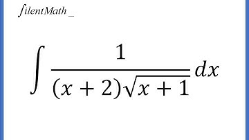
Video 2034.50 - Recursion Formula - Integrate 1/(x^2+1)^n - (Part 2/2)

Tonton & Download Video Musik Gratis

⬇ DOWNLOAD NOW
Kalau muncul iklan pop-up, tutup lalu klik tombol kembali

Download lagu Video 2034.50 - Recursion Formula - Integrate 1/(x^2+1)^n - (Part 2/2) secara gratis hanya untuk keperluan promosi. Dukung artis favorit kamu dengan membeli musik original di iTunes atau platform resmi lainnya.