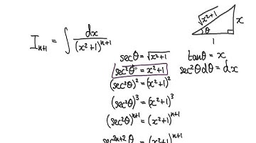
Recursive Formula Derivation For The Integral 1/(x^2+a^2)^n

Tonton & Download Video Musik Gratis

⬇ DOWNLOAD NOW
Kalau muncul iklan pop-up, tutup lalu klik tombol kembali

Download lagu Recursive Formula Derivation For The Integral 1/(x^2+a^2)^n secara gratis hanya untuk keperluan promosi. Dukung artis favorit kamu dengan membeli musik original di iTunes atau platform resmi lainnya.