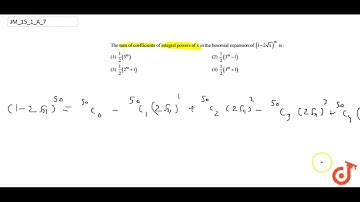
Find the sum of coefficients of integral powers of x | Binomial Theorem | Filo

Tonton & Download Video Musik Gratis

⬇ DOWNLOAD NOW
Kalau muncul iklan pop-up, tutup lalu klik tombol kembali

Download lagu Find the sum of coefficients of integral powers of x | Binomial Theorem | Filo secara gratis hanya untuk keperluan promosi. Dukung artis favorit kamu dengan membeli musik original di iTunes atau platform resmi lainnya.