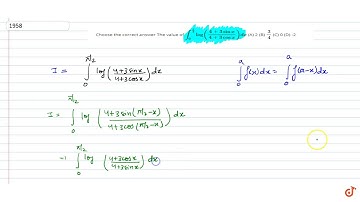
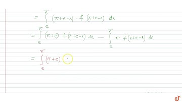
If `int_0^(pi/3)(cosx)/(3+4sinx) dx=k log((3+2sqrt(3))/3),` then `k` is equal to

Tonton & Download Video Musik Gratis

⬇ DOWNLOAD NOW
Kalau muncul iklan pop-up, tutup lalu klik tombol kembali

Download lagu If `int_0^(pi/3)(cosx)/(3+4sinx) dx=k log((3+2sqrt(3))/3),` then `k` is equal to secara gratis hanya untuk keperluan promosi. Dukung artis favorit kamu dengan membeli musik original di iTunes atau platform resmi lainnya.