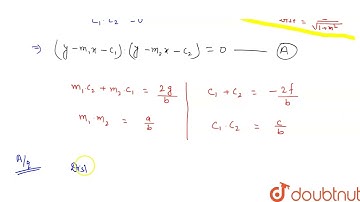
ax^2+2hxy+by^2+2gx+2fy+c=0 represent a pair of straight lines equidistant from origin, then

Tonton & Download Video Musik Gratis

⬇ DOWNLOAD NOW
Kalau muncul iklan pop-up, tutup lalu klik tombol kembali

Download lagu ax^2+2hxy+by^2+2gx+2fy+c=0 represent a pair of straight lines equidistant from origin, then secara gratis hanya untuk keperluan promosi. Dukung artis favorit kamu dengan membeli musik original di iTunes atau platform resmi lainnya.