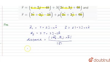
The shortest distance between the lines L1 and L2 where L1: x-1/2 = y+1/-3 = z+4/2 and L2 is the

Tonton & Download Video Musik Gratis

⬇ DOWNLOAD NOW
Kalau muncul iklan pop-up, tutup lalu klik tombol kembali

Download lagu The shortest distance between the lines L1 and L2 where L1: x-1/2 = y+1/-3 = z+4/2 and L2 is the secara gratis hanya untuk keperluan promosi. Dukung artis favorit kamu dengan membeli musik original di iTunes atau platform resmi lainnya.